Replanteos de Construcción


Sabemos que la precisión lo es todo en la construcción, por ello trasladamos nuestros planos a la realidad marcando cada punto con la exactitud necesaria, para que cada elemento de la obra encaje a la perfección.
¿Necesita asegurarse de que su proyecto se construya en la ubicación correcta? Garantizamos precisión y exactitud en todas las etapas del proceso.
¡No deje nada al azar¡ garantizamos una precisión milimétrica en cada marca, asegurando que su proyecto se construya sobre una base sólida y confiable.
Instrumentos topográficos, útiles y elementos de señalización.
Estación total.
Sistema de posicionamiento global (GPS) mediante señal vía satélite.
Estación de trabajo informática y programas informáticos específicos.


Croquis y planos de replanteo, análisis de la documentación de proyecto, estudio del terreno y situación de la obra.
Planificación trabajos de replanteo, secuenciación de los trabajos y especificación de los recursos necesarios.
Cálculo de coordenadas, distancias, ángulos, cotas, inclinaciones y otros parámetros complementarios.
Replanteo de puntos y elementos de obras de construcción materializando en el terreno y/o en la obra su señalización.
Levantamientos y replanteos topográficos.
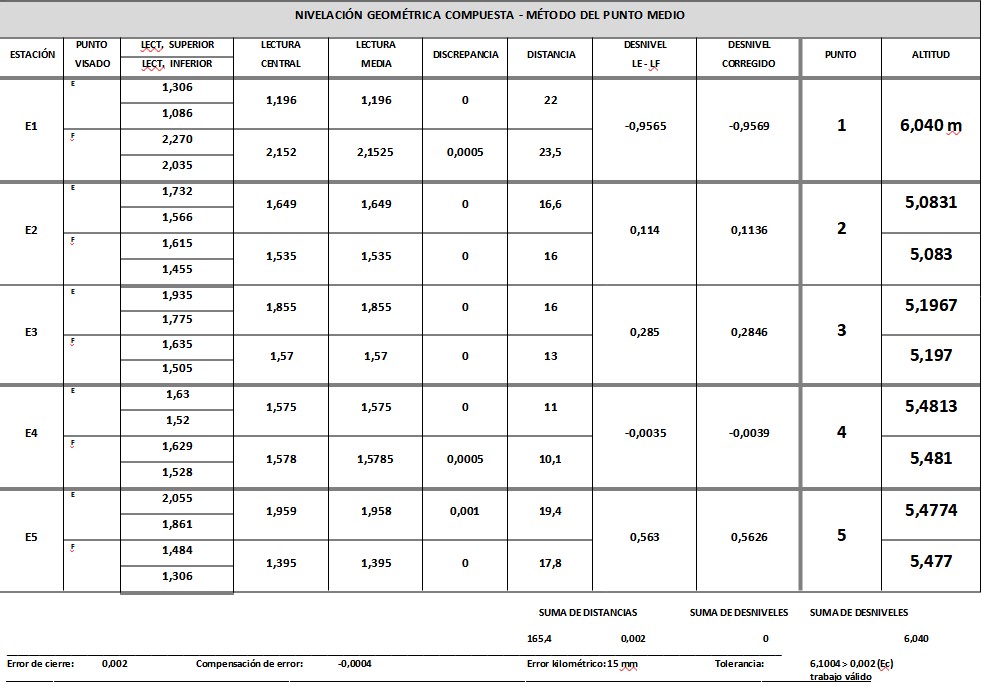
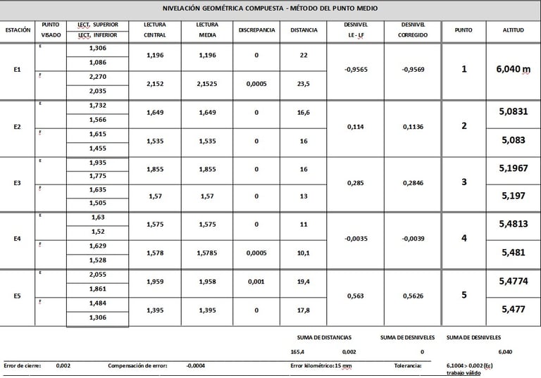
Nivelación, cotas y alturas de puntos.


Ejecución, materialización y comprobación de los replanteos.
Precisión, exactitud y orden en las operaciones de replanteo.
Replanteo planimétrico y altimétrico de terrenos, construcciones y elementos de obra.
AVM Projects
Consultoría experta en proyectos de edificación
Servicios
© 2024. All rights reserved.


